Powrót

Ograniczenia w związku z epidemią

25.03.2020

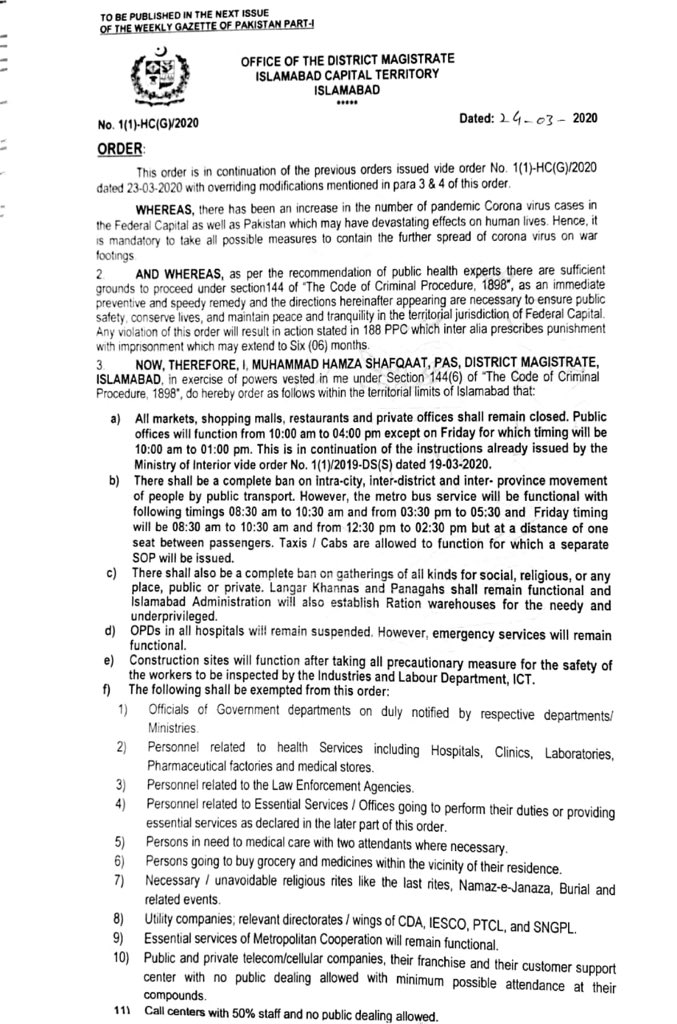
W związku z rosnącym zagrożeniem Covid-19 w Pakistanie, na terenie miasta stołecznego Islamabad, zostały wprowadzone następujące ograniczenia:

korona
  • Zamknięte zostają wszystkie markety, galerie handlowe, restauracje i prywatne biura. Instytucje publiczne funkcjonują w ograniczonym wymiarze.
  • Komunikacja publiczna pomiędzy miastami, dystryktami i prowincjami zostaje zawieszona. W ograniczonym wymiarze funkcjonować będzie metro bus.
  • Zgromadzenia publiczne, również religijne, zostają zakazane.
  • Oddziały ambulatoryjne szpitali zostają zawieszone. Przyjmowane są nadal nagłe wypadki.
  • Place budowy mogą funkcjonować wyłącznie po wcześniejszej inspekcji Industries and Labour Department, ICT.

 

Na specjalnych warunkach, wyjątkowi podlegają m.in.: członkowie instytucji rządowych, firmy użyteczności publicznej, konieczne obrządki takie jak pogrzeby, przypadki wymagające interwencji lekarza, małe sklepy z żywnością, dostawcy żywności. (Pełna lista poniżej).

 

Ograniczenia obowiązują do 07.04.2020 z możliwością przedłużenia.

 

Pełna treść dokumentu znajduje się poniżej.

Materiały

Page 1
IMG-20200326-WA0001.jpg 0.15MB
Page 2
IMG-20200326-WA0002.jpg 0.12MB
{"register":{"columns":[]}}