W celu świadczenia usług na najwyższym poziomie stosujemy pliki cookies. Korzystanie z naszej witryny oznacza, że będą one zamieszczane w Państwa urządzeniu. W każdym momencie można dokonać zmiany ustawień Państwa przeglądarki. Zobacz politykę cookies.

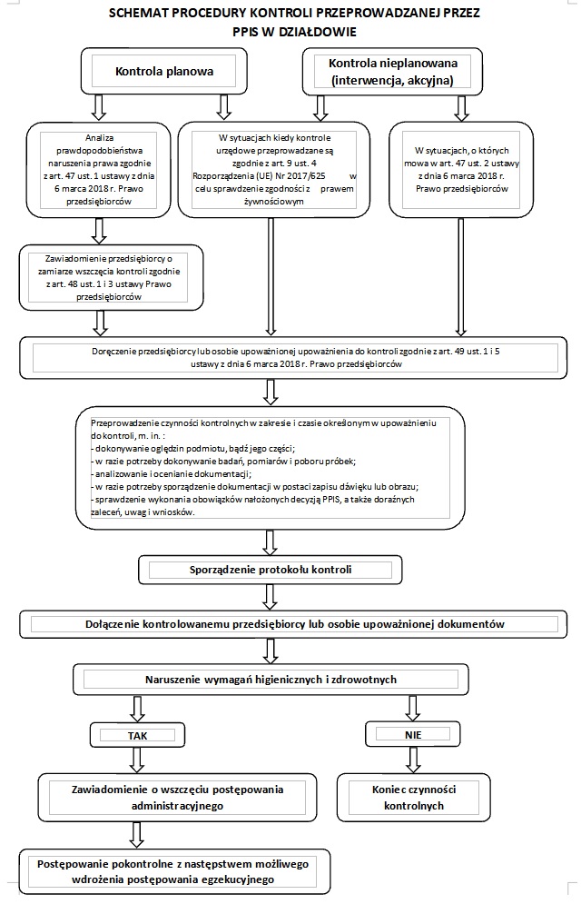
Schemat procedury kontroli

Schemat procedury kontroli

Logo Biuletynu Informacji Publicznej
Informacje o publikacji dokumentu
Pierwsza publikacja:
22.11.2022 10:59 Krzysztof Romanowski
Wytwarzający/ Odpowiadający:
Krzysztof Romanowski
Tytuł Wersja Dane zmiany / publikacji
Schemat procedury kontroli 1.0 22.11.2022 10:59 Krzysztof Romanowski

Aby uzyskać archiwalną wersję należy skontaktować się z Redakcją BIP

{"register":{"columns":[]}}