KOMUNIKAT XIX Międzyresortowej Komisji do Spraw Najwyższych Dopuszczalnych Stężeń i Natężeń Czynników Szkodliwych dla Zdrowia w Środowisku Pracy
29.10.2025
KOMUNIKAT XIX

Komunikat Międzyresortowej Komisji ds. NDS i NDN dotyczący konieczności stosowania wzoru na przeliczanie wyniku stężenia diizocyjanianu w powietrzu na stężenie grupy NCO.
W związku ze zmianami do Załącznika nr 1: WYKAZ WARTOŚCI NAJWYŻSZYCH DOPUSZCZALNYCH STĘŻEŃ CHEMICZNYCH I PYŁOWYCH CZYNNIKÓW SZKODLIWYCH DLA ZDROWIA W ŚRODOWISKU PRACY rozporządzenia Ministra Rodziny, Pracy i Polityki Społecznej z dnia 12 czerwca 2018 r. (Dz. U. 2018, poz.1286 ze zm.) dotyczącymi:
-
- wprowadzenia nowej wartości najwyższych dopuszczalnych stężeń (NDS i NDSCh) dla: Diizocyjanianów w przeliczeniu na grupę NCO
- usunięcia z wykazu wartości NDS i NDSCh dla:
- Diizocyjanian heksano-1,6-diylu [822-06-0];
-
-
- Diizocyjanian 2,2'-metylenodifenylu [2536-05-2];
- Diizocyjanian 2,4'-metylenodifenylu [5873-54-1];
- Diizocyjanian metylenodifenylu – mieszanina izomerów [26447-40-5];
- Diizocyjanian tolueno-2,4-diylu [584-84-9];
- Diizocyjanian tolueno-2,6-diylu [91-08-7];
- Diizocyjanian toluenodiylu – mieszanina izomerów (2,4- i 2,6-) [26471-62-5];
- Izocyjanian 3-izocyjanianometylo-3,5,5-trimetylocykloheksylu [4098-71-9];
- Metylenobis- (fenyloizocyjanian) [101-68-8],
-
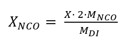
Międzyresortowa Komisja ds. Najwyższych Dopuszczalnych Stężeń i Natężeń Czynników Szkodliwych dla Zdrowia w Środowisku Pracy zaleca przeliczanie wskaźników narażenia podczas oznaczania stężenia diizocyjanianów w powietrzu na stanowiskach pracy. Przy stosowaniu metod oznaczania, gdzie wynikiem oznaczenia jest stężenie diizocyjanianu w powietrzu (X w mg/m3) wynik należy przeliczyć na stężenie grupy NCO (XNCO w mg/m3 ) zgodnie ze wzorem (1):

gdzie:
XNCO – stężenie grup NCO, w miligramach na metr sześcienny;
X – stężenie diizocyjanianu, w miligramach na metr sześcienny;
2- ilość grup NCO w diizocyjanianie;
MNCO– masa molowa grupy NCO, w gramach na mol;
MDI – masa molowa diizocyjanianu, w gramach na mol.
Komunikat przygotowano na wniosek Komitetu Technicznego 159 ds. Zagrożeń Chemicznych i Pyłowych PKN.