W celu świadczenia usług na najwyższym poziomie stosujemy pliki cookies. Korzystanie z naszej witryny oznacza, że będą one zamieszczane w Państwa urządzeniu. W każdym momencie można dokonać zmiany ustawień Państwa przeglądarki. Zobacz politykę cookies.
Powrót

Kontrola sprawozdań GUGiK

14.08.2025

Tabela z kontroli liczby działek w postaci numerycznej większej niż liczba wszystkich działek w EGiB

Zgodnie z przyjętym Programem Badań Statystycznych Statystyki Publicznej, starostowie zobowiązani są do 31 marca danego roku przekazać do Głównego Urzędu Geodezji i Kartografii wypełnione formularze powiatowe, na podstawie których Główny Geodeta Kraju sporządza sprawozdania wojewódzkie i sprawozdanie krajowe o powiatowym zasobie geodezyjnym i kartograficznym według stanu na 31 grudnia 2024 r.  

W związku z publikacją sprawozdań GUGiK dot. Państwowego Zasobu Geodezyjnego i Kartograficznego oraz zgłoszonymi przez użytkowników rozbieżnościami wykonano dodatkowe kontrole sprawozdań powiatowych przekazanych przez starostów.

Poniżej przestawiamy wyjaśnienia.

Stwierdzone różnice w liczbie działek ewidencyjnych oraz budynków wynikają z niedostosowania Ewidencji Gruntów i Budynków do obowiązujących przepisów.

  1. Liczba działek ewidencyjnych (różnice w polach 9 i 10 sprawozdań).

Jako „liczbę działek ewidencyjnych” w sprawozdaniu należy wykazać liczbę działek ewidencyjnych z części opisowej bazy ewidencji gruntów i budynków.

Jako „liczbę działek ewidencyjnych, dla których baza danych zawiera numeryczny opis granic” w sprawozdaniu należy wykazać liczbę działek ewidencyjnych z części geometrycznej ewidencji gruntów i budynków.

Tabela z kontroli liczby działek w postaci numerycznej większej niż liczba wszystkich działek w EGiB

tabela

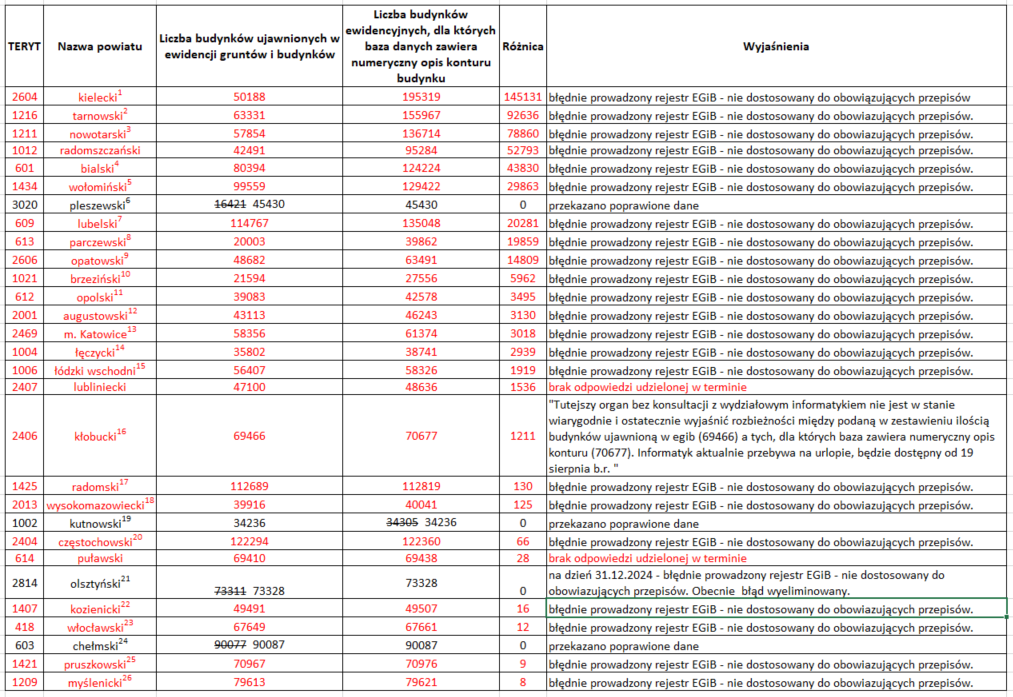
2.   Liczba budynków (różnice w polach 11 i 12 sprawozdań)

Jako „Liczbę budynków ujawnionych w ewidencji gruntów i budynków” w sprawozdaniu należy wykazać liczbę budynków z części opisowej bazy ewidencji gruntów i budynków.

Jako „Liczbę Liczba budynków ewidencyjnych, dla których baza danych zawiera numeryczny opis konturu budynku” w sprawozdaniu należy wykazać liczbę budynków z części geometrycznej ewidencji gruntów i budynków.

Tabela z kontroli liczby budynków w postaci numerycznej większej niż liczba wszystkich budynków w EGiB

tabela

Dodatkowe kontrole przeprowadzono również w zakresie liczby zgłoszonych prac geodezyjnych.

Podjęte działania:

  • Do wszystkich powyższych starostów zostały skierowane pisma nadzorcze z prośbą o udzielenie wyjaśnień i wyeliminowanie wskazanych błędów;
  • Zobligowano Wojewódzkich Inspektorów Nadzoru Geodezyjnego i Kartograficznego do objęcia nadzorem w/w starostów i doprowadzenia do wyeliminowania wskazanych błędów.

 

Niezależnie od powyższego informujemy, że przed publikacją sprawozdań przez GUGiK podlegały one kontroli:

  • Wewnętrznej – np.:
  • Liczba lokali i liczba jednostek rejestrowych lokalowych – Lp. 13 >= Lp. 8
  • Dni robocze podczas których wprowadzane są zmiany – Lp. 16>= Lp. 15
  • Liczba operatów wszystkich i liczba operatów prawnych – Lp. 18 > Lp. 19
  • Liczba wszystkich wypisów i wypisów elektronicznych – Lp. 22 > Lp. 23
  • Liczba wszystkich wyrysów i wyrysów elektronicznych – Lp. 24 > Lp. 25
  • Liczba udostępnień wszystkich map ew. i map elektronicznych – Lp. 27 > Lp. 28
  • Liczba punktów granicznych i SPD, ISD, STB – suma LP. 33-34 = LP. 14, suma Lp. 35-36 = Lp. 14 oraz suma Lp. 37-42 = Lp. 14
  • Łączny koszt modernizacji – suma Lp. 47-29 = Lp. 50
  • Liczba udostępnień wszystkich map zasadniczych i map elektronicznych – Lp. 61 > Lp. 62
  • Transakcje w rejestrze i transakcje dla których wypełniono wszystkie atrybuty – Lp. 64 <= Lp. 65
  • Transakcje ze względu na typ nieruchomości – suma Lp. 66-69 >= Lp. 65.
  • Z danymi wykazanymi w sprawozdaniu wg stanu na dzień 31 grudnia 2023 r.,
  • Z plikami GML wygenerowanymi z powiatowych baz danych.

W ramach prac własnych pracowników GUGiK zostało opracowane i przygotowane narzędzie do wyżej wymienionych kontroli.

Zrzut z ekranu z aplikacji "Sprawozdania GUGiK"

Kontrole wykonywane były cyklicznie, w kilku iteracjach, wraz z przekazanym każdorazowo skorygowanym sprawozdaniem.

Poniżej statystki z przeprowadzonych kontroli sprawozdań przed ich publikacją w usłudze sieciowej.

Tabela zawierająca wykazanie liczbę iteracji kontroli sprawozdań GUGiK

tabela

 

{"register":{"columns":[]}}