W celu świadczenia usług na najwyższym poziomie stosujemy pliki cookies. Korzystanie z naszej witryny oznacza, że będą one zamieszczane w Państwa urządzeniu. W każdym momencie można dokonać zmiany ustawień Państwa przeglądarki. Zobacz politykę cookies.
Powrót

Przełączenie numeru alarmowego 998 na CPR

Zdjęcie przedstawia folder z przełączeniem numeru alarmowego 998 na numer 112, na czerwonym tle widoczne numery 998 i 112 oraz logo PSP

W dniach 1-8 września br. na terenie województwa łódzkiego rozpocznie się proces przełączania numeru alarmowego 998 do Centrum Powiadamiania Ratunkowego w Łodzi (CPR). Numer alarmowy 998 będzie nadal działał, zmieni się natomiast miejsce odbioru zgłoszenia.

Oznacza to, że dzwoniąc na numer alarmowy 998 zostaniemy połączeni z operatorem numerów alarmowych w CPR, który przyjmie zgłoszenie i przekaże je do właściwej jednostki organizacyjnej Państwowej Straży Pożarnej. Dzięki temu, że informacja od razu trafi do operatora numeru alarmowego w CPR, możliwe będzie jednoczesne powiadomienie o zdarzeniu wszystkich właściwych służb, jeżeli zajdzie taka potrzeba.

 

Obsługa numeru alarmowego przez operatora numeru alarmowego w CPR pozwala, także wyeliminować zgłoszenia niezasadne lub fałszywe. Dyżurni operacyjni PSP będą otrzymywali od operatorów z CPR tylko te zgłoszenia alarmowe, które rzeczywiście dotyczą zagrożenia życia, zdrowia, mienia, bezpieczeństwa czy środowiska.

Kolejnym efektem przełączenia numeru alarmowego 998 do CPR będzie ujednolicenie sposobu obsługi zgłoszeń kierowanych na numery alarmowe, w tym zgłoszeń obcojęzycznych.

 

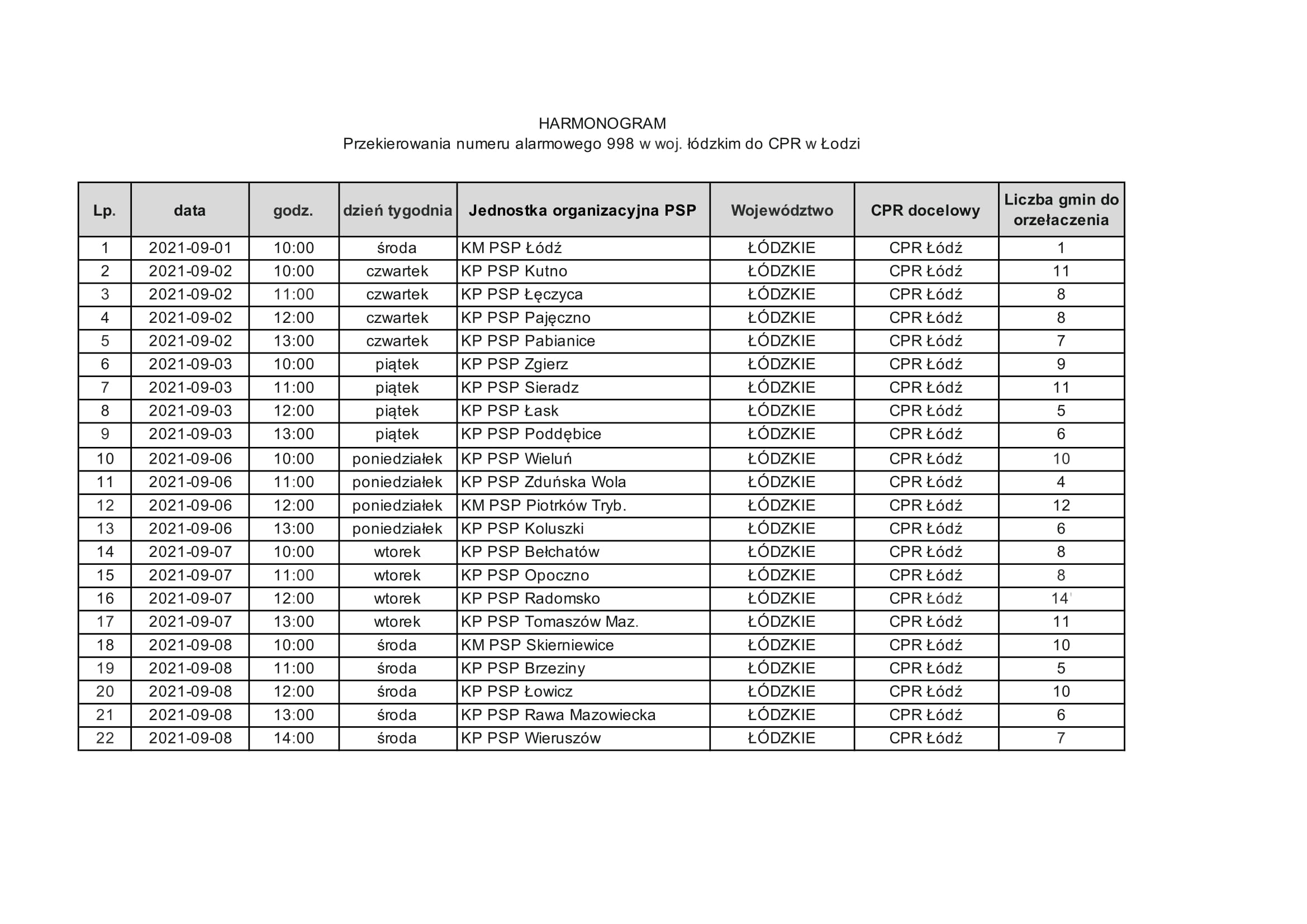
Harmonogram przełączania numerów alarmowych 998 obsługiwanych dotychczas przez komendy powiatowe/miejskie PSP do CPR przedstawia załącznik:

Harmonogram przełączania numeru alarmowego 998 do CPR

 

Cała operacja związana z przełączeniem numeru alarmowego 998 do Centrum Powiadamiania Ratunkowego w Łodzi będzie identyczna, jak ta przeprowadzana w latach 2017-2018, związana z przełączaniem policyjnego numeru alarmowego 997 do CPR.

{"register":{"columns":[]}}