W celu świadczenia usług na najwyższym poziomie stosujemy pliki cookies. Korzystanie z naszej witryny oznacza, że będą one zamieszczane w Państwa urządzeniu. W każdym momencie można dokonać zmiany ustawień Państwa przeglądarki. Zobacz politykę cookies.
Powrót

Komunikat XIX

Komunikat Międzyresortowej Komisji ds. NDS i NDN dotyczący konieczności stosowania wzoru na przeliczanie wyniku stężenia diizocyjanianu w powietrzu na stężenie grupy NCO.

Komunikat XIX - Grafika ilustracyjna

W związku ze zmianami do Załącznika nr 1: WYKAZ WARTOŚCI NAJWYŻSZYCH DOPUSZCZALNYCH STĘŻEŃ CHEMICZNYCH I PYŁOWYCH CZYNNIKÓW SZKODLIWYCH DLA ZDROWIA W ŚRODOWISKU PRACY rozporządzenia Ministra Rodziny, Pracy i Polityki Społecznej z dnia 12 czerwca 2018 r. (Dz. U. 2018, poz.1286 ze zm.) dotyczącymi:

  • wprowadzenia nowej wartości najwyższych dopuszczalnych stężeń (NDS i NDSCh) dla: Diizocyjanianów w przeliczeniu na grupę NCO
  • usunięcia z wykazu wartości NDS i NDSCh dla:
    • Diizocyjanian heksano-1,6-diylu [822-06-0];
    • Diizocyjanian 2,2'-metylenodifenylu [2536-05-2];
    • Diizocyjanian 2,4'-metylenodifenylu [5873-54-1];
    • Diizocyjanian metylenodifenylu – mieszanina izomerów [26447-40-5];
    • Diizocyjanian tolueno-2,4-diylu [584-84-9];
    • Diizocyjanian tolueno-2,6-diylu [91-08-7];
    • Diizocyjanian toluenodiylu – mieszanina izomerów (2,4- i 2,6-) [26471-62-5];
    • Izocyjanian 3-izocyjanianometylo-3,5,5-trimetylocykloheksylu [4098-71-9];
    • Metylenobis- (fenyloizocyjanian) [101-68-8],

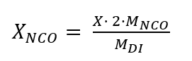
Międzyresortowa Komisja ds. Najwyższych Dopuszczalnych Stężeń i Natężeń Czynników Szkodliwych dla Zdrowia w Środowisku Pracy zaleca przeliczanie wskaźników narażenia podczas oznaczania stężenia diizocyjanianów w powietrzu na stanowiskach pracy. Przy stosowaniu metod oznaczania, gdzie wynikiem oznaczenia jest stężenie diizocyjanianu w powietrzu (X w mg/m3) wynik należy przeliczyć na stężenie grupy NCO (XNCO w mg/m3 ) zgodnie ze wzorem (1):

Wzór

gdzie:
XNCO – stężenie grup NCO, w miligramach na metr sześcienny;
X – stężenie diizocyjanianu, w miligramach na metr sześcienny;
2- ilość grup NCO w diizocyjanianie;
MNCO– masa molowa grupy NCO, w gramach na mol;
MDI – masa molowa diizocyjanianu, w gramach na mol.

Komunikat przygotowano na wniosek Komitetu Technicznego 159 ds. Zagrożeń Chemicznych i Pyłowych PKN.

źródło: www.ciop.pl

{"register":{"columns":[]}}