W celu świadczenia usług na najwyższym poziomie stosujemy pliki cookies. Korzystanie z naszej witryny oznacza, że będą one zamieszczane w Państwa urządzeniu. W każdym momencie można dokonać zmiany ustawień Państwa przeglądarki. Zobacz politykę cookies.
Powrót

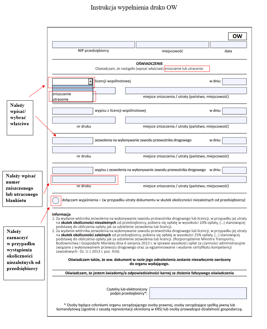
Instrukcja wypełnienia druku OW

25.07.2025

INFORMACJA 63/2025

W związku z aktualizacją druku OW (Oświadczenie o zniszczeniu/utraceniu blankietu) poniżej załączamy instrukcję wypełnienia aktualnego druku OW. Dany druk stanowi m.in. załącznik do wniosku LR3, LO3 dot. wydania wtórnika uprawnienia.

Informujemy, że oświadczenie ma na celu wykazanie okoliczności utraty wymienionych uprawnień tj.:

  • licencji wspólnotowej,
  • wypisu z licencji wspólnotowej,
  • zezwolenia na wykonywanie zawodu przewoźnika drogowego,
  • wypisu z zezwolenia na wykonywanie zawodu przewoźnika drogowego.

Nadmieniamy, że numery wydanych blankietów wypisów z licencji dostępne są w ogólnodostępnym rejestrze tj. Krajowym Rejestrze Elektronicznym Przedsiębiorców Transportu Drogowego: https://kreptd.gitd.gov.pl/

Zachęcamy również do korzystania z możliwości weryfikacji swoich danych za pośrednictwem Portalu Klienta, który jest dostępny pod adresem: https://ibtm.gitd.gov.pl

Do Portalu Klienta dostęp mogą uzyskać przedsiębiorcy lub osoby przez niego wskazane.
W tym celu należy złożyć do GITD wniosek PK1. Wzór wniosku znajduje się w miejscu:
https://www.gov.pl/web/gitd/wnioski-i-druki-do-pobrania

Wszelkie sprawy związane z Portalem Klienta iBTM można realizować za pośrednictwem:

Email: portal.klienta@gitd.gov.pl

Infolinii PK: (22) 220 43 12 (Infolinia czynna w dni robocze w godz. 9:00 - 14:00)

Materiały

Instrukcja​_wypełnienia​_druku​_OW
Instrukcja​_wypełnienia​_druku​_OW.pdf 0.23MB
{"register":{"columns":[]}}