W celu świadczenia usług na najwyższym poziomie stosujemy pliki cookies. Korzystanie z naszej witryny oznacza, że będą one zamieszczane w Państwa urządzeniu. W każdym momencie można dokonać zmiany ustawień Państwa przeglądarki. Zobacz politykę cookies.
Powrót

Petycja ws. zniesienia szkodliwego monopsonu

25.06.2020

Materiały

petycja cz. 1 (23.06.2020)
petycja​_1​_23062020.png 0.20MB
petycja cz. 2 (23.06.2020)
petycja​_2​_23062020.png 0.12MB
pismo przekazujące petycję
pismo​_przekazujące​_petycję​_1.png 0.10MB
pismo przekazujące petycję
pismo​_przekazujące​_petycję​_2.png 0.06MB
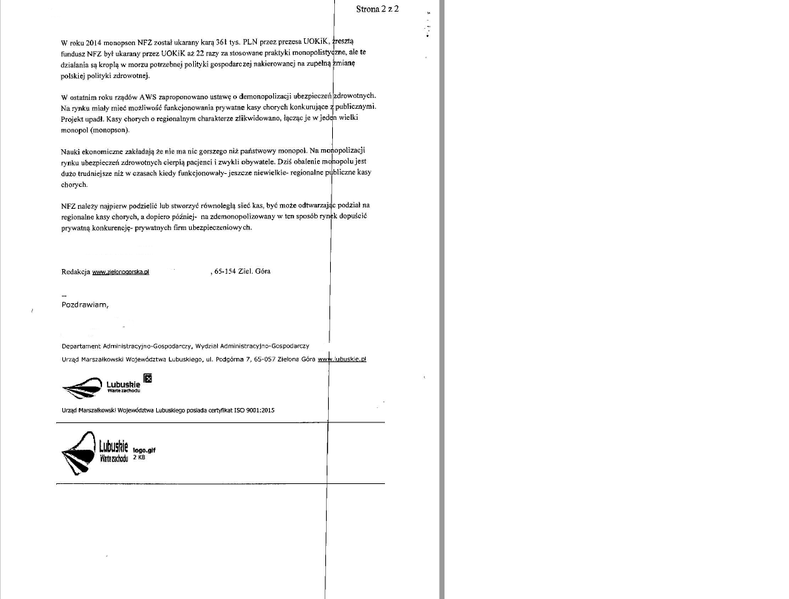
odpowiedź (28.09.2020)
odpowiedź.pdf 0.13MB
Logo Biuletynu Informacji Publicznej
Informacje o publikacji dokumentu
Pierwsza publikacja:
25.06.2020 14:31 Mateusz Klimczak
Wytwarzający/ Odpowiadający:
Mateusz Klimczak
Tytuł Wersja Dane zmiany / publikacji
Petycja ws. zniesienia szkodliwego monopsonu 2.0 29.09.2020 15:14 Bartłomiej Celejewski
Petycja ws. zniesienia szkodliwego monopsonu 1.0 25.06.2020 14:31 Mateusz Klimczak

Aby uzyskać archiwalną wersję należy skontaktować się z Redakcją BIP

{"register":{"columns":[]}}